球王会·(中国)体育官方网站
球王会官网信息科学与工程公司
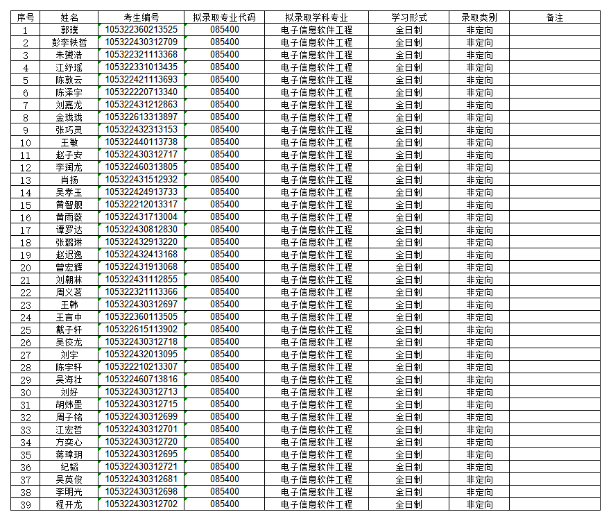
2022年硕士研究生拟录取建议名单公示
根据《球王会2022年硕士研究生复试录取工作实施细则》,经公司研究生招生工作领导小组审定,现将2022年全国统考硕士研究生拟录取建议名单予以公示(不含推免生)。公示期4月8日—4月21日(10个工作日)。公示期内,如对公示名单有异议,可在公示期内以书面形式向信息科学与工程公司研究生办公室进行反映,公司将及时调查、复核并回复考生。
另,如公示名单中拟录取考生自愿放弃公司拟录取资格或有增量指标,公司将按专业初试+复试总成绩由高到低进行递补拟录取。
球王会
2022年4月8日






